티스토리 뷰
2021.4.2. 13:02
안녕하세요
프로그래밍을 배우는 빛나는 샤트입니다.
SLAM 강의 3번째. Differential Drive Kinematics
*이 포스팅은 목원대학교 양정연 교수님의 SLAM강의 유튜브 영상을 보고 제작되었음을 밝힙니다.
출처: www.youtube.com/playlist?list=PL3Ax8f2laJ6vU449FdgWlVl2VtizhDIfj


<Differential Drive Kinematics>
- 캐스터 바퀴: 보조 바퀴이며 로봇 앞뒤에 붙어있다. Yaw, 바퀴 회전 축 사이에 offset이 있어야 좌우 회전까지 된다.
- 캐스터 바퀴가 많을수록 안정적이다. 지면이 울툴불퉁하게 된다면 동력 전달이 잘 안될 수 있으니 안 좋을 수 있다.
-> 모바일 로봇의 경우 캐스터 바퀴가 매우 중요.
(실제 모바일 로봇의 캐스터 바퀴가 불안정해서 로봇 자체가 불안정하게 구동할 수 있다)
-> 캐스터 바퀴에는 스프링이 들어가는 것이 좋다.
*Slip현상: 로봇의 바퀴가 헛도는 현상. 무게가 가벼울 때 자주 발생.


*빨간 지점의 속도: 좌측 속도와 우측 속도의 평균으로 표현 가능
*두 개의 속도가 다르면 각속도w가 추가.

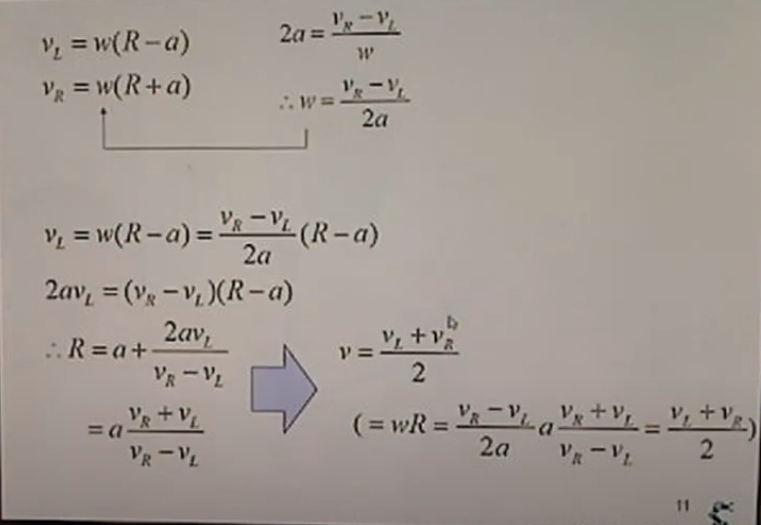
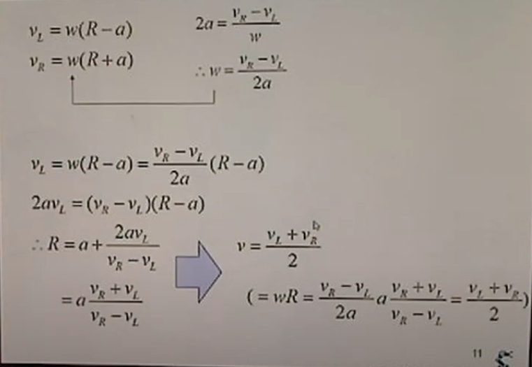
<Differential Drive Kinematics>
- 새로운 회전 중심 회전축(ICC:Instantaneous Center of curvature)
- v = wxr을 이용해 v_L, v_R을 구할 수 있다.

- v_L, v_R을 알고 있을 때 w,v를 표현하는 방법
1) v_L = v_R이면 w=0이다. 즉, v = v_L=v_R
2) v_L = -v_R이면 왼쪽바퀴는 앞으로 오른쪽바퀴는 뒤로 가는 사례. v=0(제자리 회전)
3) v_L=0(v_R은 0이 아니다). 왼쪽 바퀴 고장. 회전과 이동이 동시에 일어난다.

- R은 크게 의미는 없지만 구할 수 있다.

행렬로 표현 가능.
- v_L = w_L X r = w_L*r (둘 사이의 각도가 90도 이므로)
- 역행렬을 통해 w_L, w_R을 구할 수 있다.
- 아래 그림 처럼 만약 회전없이 직진만 하고 싶다면 w=0을 대입해 행렬을 풀면 w_L, w_R을 구할 수 있다.

💡강의 후 느낀 점
모바일 로봇에서 보조바퀴로 사용되는 '캐스터 바퀴'에 대해 배웠고 많을수록 안정성은 올라가지만 표면 거칠기에 따라 헛돌 수 있다는 점에서 적절한 수를 적용해야 한다는 점을 알게됨.
바퀴 속도와 각속도에 관한 식을 정리.
수식으로 정리한 내용을 행렬로 표현해서 간단하게 구할 수 있었다. (행렬 표현 가능 이유는 각속도와 바퀴 속도 방향이 90므로)
피드백은 언제나 환영합니다.😊
틀린 부분 있다면 지적해주시고 도움이 되었다면 댓글과 공감 눌러주세요.
'SLAM' 카테고리의 다른 글
| [SLAM] 양정연 교수 SLAM 강의 6강. Simple Inverse Kinematics of Mobile Robots, 간단한 R-T-R 경로기반 역기구학 (0) | 2022.02.20 |
|---|---|
| [SLAM] 양정연 교수 SLAM 강의 5강. Jacobian Matrix-based Mobile Robot Movement (0) | 2022.02.20 |
| [SLAM] 양정연 교수 SLAM 강의 4강. 이동로봇 기구학의 자코비안 행렬 (0) | 2022.02.20 |
| [SLAM] 양정연 교수 SLAM 강의 2강. Mobile Robot, Thinking about System Dynamics (0) | 2022.02.20 |
| [SLAM] 양정연 교수 SLAM 강의 1강. 자율주행이동로봇 개요 (0) | 2022.02.20 |
- Total
- Today
- Yesterday
- 자율주행로봇
- 광주인공지능사관학교
- 해커톤
- 도전
- 멘탈관리
- AIFFEL인공지능과정
- 모두의 연구소
- 자율주행기술
- 광주
- 실내자율주행
- 멋쟁이사자처럼
- 양정연SLAM
- 광주AI
- 서빙로봇
- ros
- SLAM강의
- AIFFEL후기
- IT
- AIFFEL교육
- 아이펠
- 인공지능교육
- Python
- 배달로봇
- Slam
- AIFFEL
- 인공지능
- 인공지능 교육
- 대전 인공지능
- SLAM공부
- 모두의연구소
| 일 | 월 | 화 | 수 | 목 | 금 | 토 |
|---|---|---|---|---|---|---|
| 1 | 2 | 3 | 4 | 5 | 6 | |
| 7 | 8 | 9 | 10 | 11 | 12 | 13 |
| 14 | 15 | 16 | 17 | 18 | 19 | 20 |
| 21 | 22 | 23 | 24 | 25 | 26 | 27 |
| 28 | 29 | 30 | 31 |