티스토리 뷰
[SLAM] 양정연 교수 SLAM 강의 10강. Beacon-based Localization with Optimization
무엇보다_빛나는_샤트 2022. 2. 21. 21:142021. 9. 28. 01:52
안녕하세요
프로그래밍을 배우는 빛나는 샤트입니다.
SLAM 강의 10번째. Beacon-based Localization with Optimization
*이 포스팅은 목원대학교 양정연 교수님의 SLAM강의 유튜브 영상을 보고 제작되었음을 밝힙니다.
출처: 10강. Beacon-based Localization with Optimization
10강. Beacon-based Localization with Optimization
🎉강의요약
1. 비콘을 이용한 현재 위치를 찾는 방법
2. 비콘이 많을수록 위치를 정확히 알 수 있다.
3. 이 문제는 Unknown factor이 Known factor보다 적기 때문에 에러를 최소화하는 최적화 문제로 봐야한다.
4. Gradient Descent Method를 이용해 최솟값을 찾아 수렴하는 구간을 찾아 정확한 위치를 찾는다.
5. 예제 코드 살펴본 결과 꽤 정확한 값을 빠르게 찾아준다.
6. 하지만 비콘의 정확한 거리를 아는 것이 어렵기 때문에 이를 보완하고자 비콘의 수를 늘리는 것이 좋다.

<Why Earthquake for Localization>
4군데서 지진측정.
v=s/t를 이용해 시간을 구할 수 있다.
하지만 s,t를 정확히 모르기 때문에 각각의 값들을 이용해 구해야만 한다.
Localization은 어떤 문제인가?
> 모든 스팟에서부터 중심까지의 거리를 알 수 있다면 중심 위치를 알 수 있다.
비콘 기반으로 현재 위치 아는 방법 필요. (위 그림에서는 4개의 스팟: Z/Y)
가장 쉬운 방법. 하지만 기술적으로는 매우 어렵다.
비콘은 움직이지 않는다. (X1~X4)

<In the same manner, Beacon-based Localization>
비콘으로는 전파 특성때문에 특정 위치 찾기 어렵다.
Zi를 구하면 되는데 미지수보다 알고 있는 값이 더 많으므로 모든 것을 다 만족할 수 없기 때문에 에러를 최소화하기 위한 최적화 문제로 바꿔야 한다.

<How to Solve equations? Cost Optimization>
가정) 비콘이 3개, 위치((0,0), (10,0) ,(0,10))
세 거리(d1,d2,d3)를 구한다.
이 방정식은 비선형 연립방정식이다. 에러값을 작게 하기 위해서 Cost Fuction을 설계해야 한다.

<Optimization Convex hull should be exist>
최적화 기법을 이용해 최솟값을 구해야 한다
> Gradient Descent

<Gradient Descent Method>
편미분을 이용해 벡터를 얻어낸다. 표면에서의 수직 방향으로 발생됨.

<Gradient Descent flollows (-)>
Gradient Descent은 기울기 변화가 없을 때 멈춘다.

<Gradient Descent Example>
코드 구현


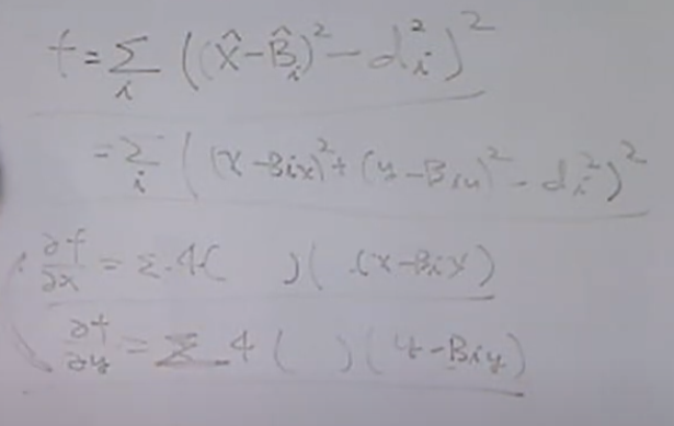
<Beacon-based Localization Iterative Optimal Problem>
X: 미지수 위치값
B: 비콘의 위치
d: 비콘과의 거리
수식 풀이과정은 위와 같다.
>> 예시 코드를 실행해서 위치를 특정할 수 있게 된다. Gradient Descent Method을 이용해 수렴해서 비교적 잘 찾을 수 있다.
비콘은 많을수록 위치를 잘 찾을 수 있다.

<Gradient Descent Method, GDM>
비콘은 거리만 정확히 알 수 있다면 위치를 특정할 수 있다. (꽤 좋은 방법)
전파를 이용하는 경우 실용적으로는 쓰기 어렵다. 병원에서도 전파 간섭이 심해서 어렵다.

<However, calculation d has Noise>
비콘과의 거리를 정확히 아는 것이 어렵다. 거리로 환산할 수 있는 정확한 방법 필요 또는 비콘이 많이 필요하다.
GPS는 실내에서는 사용할 수 없다. 차후 강의에서 실내에서 Localization하는 방법 학습
비콘과 거리 정보에 모두 노이즈를 추가할 때 비콘4개, 5개의 에러를 비교하면 개수가 많을 수록 유리하다는 것을 알 수 있다. 관측된 결과가 많을수록 현재 위치를 찾기 좋다.
피드백은 언제나 환영합니다.😊
틀린 부분 있다면 지적해주시고 도움이 되었다면 댓글과 공감 눌러주세요.
'SLAM' 카테고리의 다른 글
| [SLAM] 양정연 교수 SLAM 강의 12강. Deterministic Vs. Stochastic Method (0) | 2022.02.21 |
|---|---|
| [SLAM] 양정연 교수 SLAM 강의 11강. Random Process (0) | 2022.02.21 |
| [SLAM] 양정연 교수 SLAM 강의 9강. Seismic Sensor for Accelerometer (0) | 2022.02.21 |
| [SLAM] 양정연 교수 SLAM 강의 8강. Wheel Rotation Homework by Kinematics (0) | 2022.02.21 |
| [SLAM] 양정연 교수 SLAM 강의 7강.Two Inverse Kinematics approaches for Mobile Robots, 모바일로봇 역기구학 (0) | 2022.02.20 |
- Total
- Today
- Yesterday
- 실내자율주행
- 아이펠
- 배달로봇
- 자율주행기술
- 모두의연구소
- AIFFEL교육
- Python
- 인공지능 교육
- ros
- 멘탈관리
- SLAM강의
- 해커톤
- 광주AI
- 멋쟁이사자처럼
- 자율주행로봇
- 광주인공지능사관학교
- AIFFEL인공지능과정
- Slam
- 인공지능교육
- AIFFEL
- 양정연SLAM
- 인공지능
- AIFFEL후기
- 서빙로봇
- SLAM공부
- 모두의 연구소
- 광주
- 도전
- IT
- 대전 인공지능
| 일 | 월 | 화 | 수 | 목 | 금 | 토 |
|---|---|---|---|---|---|---|
| 1 | 2 | 3 | 4 | 5 | 6 | |
| 7 | 8 | 9 | 10 | 11 | 12 | 13 |
| 14 | 15 | 16 | 17 | 18 | 19 | 20 |
| 21 | 22 | 23 | 24 | 25 | 26 | 27 |
| 28 | 29 | 30 | 31 |